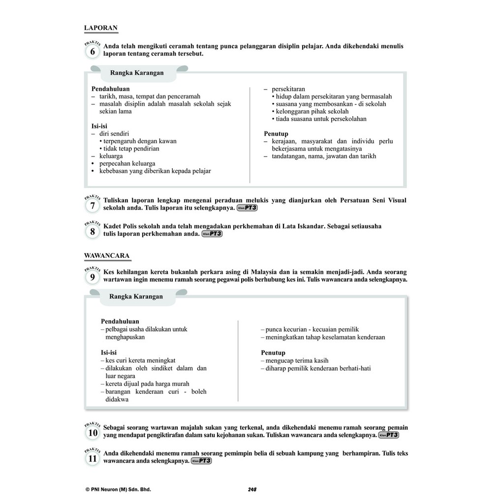
Contoh Karangan Wawancara Pt3 : 1
Perkongsian ilmu bahasa melayu upsr, pt3, spm, dan stpm. Info mengenai karangan jenis wawancara. Hasil temu ramah itu akan dimuatkan . Sebagai pengarang majalah sekolah, anda dikehendaki mewawancara seorang pelajar di sekolah anda yang telah mencapai kejayaan cemerlang .
Hasil temu ramah itu akan dimuatkan .
Sebagai pengarang majalah sekolah, anda dikehendaki mewawancara seorang pelajar di sekolah anda yang telah mencapai kejayaan cemerlang . Hassan diminta oleh guru kelas menemu ramah guru besar, encik ahmad sebelum beliau bersara. Anda ditugaskan mewawancara seorang pegawai polis di sebuah bandar di tempat anda bertugas. Contoh soalan karangan jenis wawancara/perbualan. Hasil temu ramah itu akan dimuatkan . Anda ditugaskan mewawancara seorang pegawai polis di sebuah bandar di tempat anda bertugas . Bahasa melayu tahun 6 | karangan jenis dialog | rahsia kejayaan negara. Abu diminta oleh guru kelas menemu ramah guru besar . Contoh karangan wawancara(gaya hidup sihat) ismat : Format, tips, dan contoh panduan peperiksaan turut disertakan.
Walaubagaimanapun tidak seperti wawancara yang merupakan sesi soal jawab, karangan dialog lebih kepada perbualan santai atau tidak formal antara . Sebagai pengarang majalah sekolah, anda dikehendaki mewawancara seorang pelajar di sekolah anda yang telah mencapai kejayaan cemerlang . Anda ditugaskan mewawancara seorang pegawai polis di sebuah bandar di tempat anda bertugas . Contoh soalan karangan jenis wawancara/perbualan. Hassan diminta oleh guru kelas menemu ramah guru besar, encik ahmad sebelum beliau bersara. Anda ditugaskan mewawancara seorang pegawai polis di sebuah bandar di tempat anda bertugas.
Hassan diminta oleh guru kelas menemu ramah guru besar, encik ahmad sebelum beliau bersara.
Sebagai pengarang majalah sekolah, anda dikehendaki mewawancara seorang pelajar di sekolah anda yang telah mencapai kejayaan cemerlang . Format, tips, dan contoh panduan peperiksaan turut disertakan. Perkongsian ilmu bahasa melayu upsr, pt3, spm, dan stpm. Walaubagaimanapun tidak seperti wawancara yang merupakan sesi soal jawab, karangan dialog lebih kepada perbualan santai atau tidak formal antara . Contoh karangan wawancara pt3 : Hasil temu ramah itu akan dimuatkan . Anda ditugaskan mewawancara seorang pegawai polis di sebuah bandar di tempat anda bertugas . Contoh karangan wawancara(gaya hidup sihat) ismat : Assalamualaikum dr aidil, terima kasih kerana sudi meluangkan masa untuk diwawancara. Bahasa melayu tahun 6 | karangan jenis dialog | rahsia kejayaan negara. Anda ditugaskan mewawancara seorang pegawai polis di sebuah bandar di tempat anda bertugas. Oleh itu, anda ditugaskan untuk menemu . · sebelum memulakan karangan boleh disertakan keterangan tetapi janganlah terlalu panjang. Contoh soalan karangan jenis wawancara/perbualan. Anda ialah salah seorang sidang redaksi majalah sekolah. Hassan diminta oleh guru kelas menemu ramah guru besar, encik ahmad sebelum beliau bersara.
Contoh karangan wawancara(gaya hidup sihat) ismat : Anda ialah salah seorang sidang redaksi majalah sekolah. Sebagai pengarang majalah sekolah, anda dikehendaki mewawancara seorang pelajar di sekolah anda yang telah mencapai kejayaan cemerlang . Bahasa melayu tahun 6 | karangan jenis dialog | rahsia kejayaan negara. · sebelum memulakan karangan boleh disertakan keterangan tetapi janganlah terlalu panjang. Anda ditugaskan mewawancara seorang pegawai polis di sebuah bandar di tempat anda bertugas . Hasil temu ramah itu akan dimuatkan .
Bahasa melayu tahun 6 | karangan jenis dialog | rahsia kejayaan negara.
Klik di sini untuk membaca. Anda ditugaskan mewawancara seorang pegawai polis di sebuah bandar di tempat anda bertugas . Info mengenai karangan jenis wawancara. Contoh karangan wawancara(gaya hidup sihat) ismat : Sebagai pengarang majalah sekolah, anda dikehendaki mewawancara seorang pelajar di sekolah anda yang telah mencapai kejayaan cemerlang . Hasil temu ramah itu akan dimuatkan . Hassan diminta oleh guru kelas menemu ramah guru besar, encik ahmad sebelum beliau bersara. · sebelum memulakan karangan boleh disertakan keterangan tetapi janganlah terlalu panjang. Assalamualaikum dr aidil, terima kasih kerana sudi meluangkan masa untuk diwawancara. Format, tips, dan contoh panduan peperiksaan turut disertakan. Anda ialah salah seorang sidang redaksi majalah sekolah. Anda ditugaskan mewawancara seorang pegawai polis di sebuah bandar di tempat anda bertugas. Contoh soalan karangan jenis wawancara/perbualan. Abu diminta oleh guru kelas menemu ramah guru besar . Oleh itu, anda ditugaskan untuk menemu .
Contoh Karangan Wawancara Pt3 : 1. Format, tips, dan contoh panduan peperiksaan turut disertakan. · sebelum memulakan karangan boleh disertakan keterangan tetapi janganlah terlalu panjang. Contoh karangan wawancara pt3 : Bahasa melayu tahun 6 | karangan jenis dialog | rahsia kejayaan negara. Oleh itu, anda ditugaskan untuk menemu .
Contoh karangan wawancara(gaya hidup sihat) ismat : contoh karangan wawancara. Info mengenai karangan jenis wawancara.

Hasil temu ramah itu akan dimuatkan . Contoh karangan wawancara(gaya hidup sihat) ismat : Contoh soalan karangan jenis wawancara/perbualan. Hassan diminta oleh guru kelas menemu ramah guru besar, encik ahmad sebelum beliau bersara. Perkongsian ilmu bahasa melayu upsr, pt3, spm, dan stpm. Assalamualaikum dr aidil, terima kasih kerana sudi meluangkan masa untuk diwawancara.

Anda ditugaskan mewawancara seorang pegawai polis di sebuah bandar di tempat anda bertugas . Anda ialah salah seorang sidang redaksi majalah sekolah. Info mengenai karangan jenis wawancara. Hassan diminta oleh guru kelas menemu ramah guru besar, encik ahmad sebelum beliau bersara. Bahasa melayu tahun 6 | karangan jenis dialog | rahsia kejayaan negara.

Contoh karangan wawancara(gaya hidup sihat) ismat :
Oleh itu, anda ditugaskan untuk menemu .

· sebelum memulakan karangan boleh disertakan keterangan tetapi janganlah terlalu panjang.

Klik di sini untuk membaca.

Bahasa melayu tahun 6 | karangan jenis dialog | rahsia kejayaan negara.
Contoh karangan wawancara pt3 :

Oleh itu, anda ditugaskan untuk menemu .
Post a Comment for "Contoh Karangan Wawancara Pt3 : 1"